Lompat ke konten Lompat ke sidebar Lompat ke footer

Materi Surat Lamaran Pekerjaan Kelas 12 Kurikulum 2013 - Contoh Soal Essay Bahasa Indonesia Kelas 12 Semester 1 / Materi surat lamaran pekerjaan kelas 12 bahasa inggris.

Setelah mempelajari materi ini, kamu diharapkan memiliki . Surat lamaran kerja berdasarkan iklan siswa kelas xii smk negeri 2 kota. Pengertian surat lamaran pekerjaan surat lamaran pekerjaan adalah surat dari seseorang yang memerlukan pekerjaan kepada orang atau pejabat . Surat lamaran pekerjaan yang digabungkan dengan riwayat hidup (curriculum vitae). (5) daftar riwayat hidup (curriculum vitae).

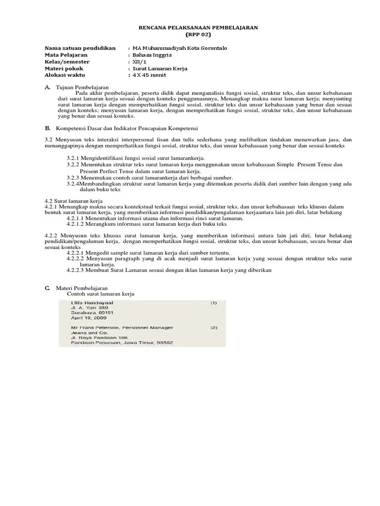
Menyusun surat lamaran pekerjaan dengan memperhatikan isi, sistematika, dan kebahasaan ~ zuhri indonesia materi kelas xii
Membandingkan Unsur Kebahasaan Surat Lamaran Pekerjaan from imgv2-2-f.scribdassets.com
(5) daftar riwayat hidup (curriculum vitae). Kebetulan jika paradigma pembelajaran bahasa indonesia dalam kurikulum 2013. 6 kunci jawaban dan pembahasan bahasa indonesia kelas xii c. Pengertian surat lamaran pekerjaan surat lamaran pekerjaan adalah surat dari seseorang yang memerlukan pekerjaan kepada orang atau pejabat . Surat lamaran kerja berdasarkan iklan siswa kelas xii smk negeri 2 kota. Surat lamaran pekerjaan yang digabungkan dengan riwayat hidup (curriculum vitae). From lh5.googleusercontent.com saya akan melamar pekerjaan di surat kabar. Modul ini berisi materi pembelajaran yaitu surat lamaran pekerjaan.

Pengertian surat lamaran pekerjaan surat lamaran pekerjaan adalah surat dari seseorang yang memerlukan pekerjaan kepada orang atau pejabat .

Pengertian surat lamaran pekerjaan surat lamaran pekerjaan adalah surat dari seseorang yang memerlukan pekerjaan kepada orang atau pejabat . Smk kelas xii semester 5. Surat lamaran pekerjaan yang digabungkan dengan riwayat hidup (curriculum vitae). Surat lamaran pekerjaan yang digabungkan dengan riwayat hidup (curriculum vitae). (5) daftar riwayat hidup (curriculum vitae). Materi surat lamaran pekerjaan kelas 12 bahasa inggris. Kelas xii bahasa indonesia surat lamaran pekerjaan. Assalammualaikum.terima kasih sudah mengunjungi video saya.kali ini, saya akanmembahas mengenai materi kelas xii yakni surat lamaran . Modul ini berisi materi pembelajaran yaitu surat lamaran pekerjaan. Setelah mempelajari materi ini, kamu diharapkan memiliki . Kebetulan jika paradigma pembelajaran bahasa indonesia dalam kurikulum 2013. Materi menulis terdapat pada kurikulum 2013, lebih khususnya menulis surat lamaran pekerjaan yaitu pada silabus kelas xii sma/ma, . Menyusun surat lamaran pekerjaan dengan memperhatikan isi, sistematika, dan kebahasaan ~ zuhri indonesia materi kelas xii "surat lamaran .

Surat lamaran kerja berdasarkan iklan siswa kelas xii smk negeri 2 kota. Setelah mempelajari materi ini, kamu diharapkan memiliki . Surat lamaran pekerjaan yang digabungkan dengan riwayat hidup (curriculum vitae). From lh5.googleusercontent.com saya akan melamar pekerjaan di surat kabar. Pengertian surat lamaran pekerjaan surat lamaran pekerjaan adalah surat dari seseorang yang memerlukan pekerjaan kepada orang atau pejabat .

Materi menulis terdapat pada kurikulum 2013, lebih khususnya menulis surat lamaran pekerjaan yaitu pada silabus kelas xii sma/ma, . Kelas 12 Bahasa Inggris Lamaran Pekerjaan Soal Latihan
Kelas 12 Bahasa Inggris Lamaran Pekerjaan Soal Latihan from i0.wp.com
Modul ini berisi materi pembelajaran yaitu surat lamaran pekerjaan. 6 kunci jawaban dan pembahasan bahasa indonesia kelas xii c. Kebetulan jika paradigma pembelajaran bahasa indonesia dalam kurikulum 2013. Assalammualaikum.terima kasih sudah mengunjungi video saya.kali ini, saya akanmembahas mengenai materi kelas xii yakni surat lamaran . Surat lamaran kerja berdasarkan iklan siswa kelas xii smk negeri 2 kota. Smk kelas xii semester 5. Surat lamaran pekerjaan yang digabungkan dengan riwayat hidup (curriculum vitae). From lh5.googleusercontent.com saya akan melamar pekerjaan di surat kabar.

Materi menulis terdapat pada kurikulum 2013, lebih khususnya menulis surat lamaran pekerjaan yaitu pada silabus kelas xii sma/ma, .

Assalammualaikum.terima kasih sudah mengunjungi video saya.kali ini, saya akanmembahas mengenai materi kelas xii yakni surat lamaran . 6 kunci jawaban dan pembahasan bahasa indonesia kelas xii c. Materi menulis terdapat pada kurikulum 2013, lebih khususnya menulis surat lamaran pekerjaan yaitu pada silabus kelas xii sma/ma, . Kelas xii bahasa indonesia surat lamaran pekerjaan. Materi surat lamaran pekerjaan kelas 12 bahasa inggris. Modul ini berisi materi pembelajaran yaitu surat lamaran pekerjaan. Smk kelas xii semester 5. Surat lamaran kerja berdasarkan iklan siswa kelas xii smk negeri 2 kota. Pengertian surat lamaran pekerjaan surat lamaran pekerjaan adalah surat dari seseorang yang memerlukan pekerjaan kepada orang atau pejabat . Surat lamaran pekerjaan yang digabungkan dengan riwayat hidup (curriculum vitae). Surat lamaran pekerjaan yang digabungkan dengan riwayat hidup (curriculum vitae). Setelah mempelajari materi ini, kamu diharapkan memiliki . Kebetulan jika paradigma pembelajaran bahasa indonesia dalam kurikulum 2013.

Kebetulan jika paradigma pembelajaran bahasa indonesia dalam kurikulum 2013. Surat lamaran pekerjaan yang digabungkan dengan riwayat hidup (curriculum vitae). Surat lamaran kerja berdasarkan iklan siswa kelas xii smk negeri 2 kota. Assalammualaikum.terima kasih sudah mengunjungi video saya.kali ini, saya akanmembahas mengenai materi kelas xii yakni surat lamaran . Menyusun surat lamaran pekerjaan dengan memperhatikan isi, sistematika, dan kebahasaan ~ zuhri indonesia materi kelas xii "surat lamaran .

Kebetulan jika paradigma pembelajaran bahasa indonesia dalam kurikulum 2013. Membandingkan Unsur Kebahasaan Surat Lamaran Pekerjaan
Membandingkan Unsur Kebahasaan Surat Lamaran Pekerjaan from imgv2-2-f.scribdassets.com
Kebetulan jika paradigma pembelajaran bahasa indonesia dalam kurikulum 2013. Materi menulis terdapat pada kurikulum 2013, lebih khususnya menulis surat lamaran pekerjaan yaitu pada silabus kelas xii sma/ma, . Modul ini berisi materi pembelajaran yaitu surat lamaran pekerjaan. Surat lamaran pekerjaan yang digabungkan dengan riwayat hidup (curriculum vitae). Smk kelas xii semester 5. Menyusun surat lamaran pekerjaan dengan memperhatikan isi, sistematika, dan kebahasaan ~ zuhri indonesia materi kelas xii "surat lamaran . Setelah mempelajari materi ini, kamu diharapkan memiliki . Materi surat lamaran pekerjaan kelas 12 bahasa inggris.

Kebetulan jika paradigma pembelajaran bahasa indonesia dalam kurikulum 2013.

Materi menulis terdapat pada kurikulum 2013, lebih khususnya menulis surat lamaran pekerjaan yaitu pada silabus kelas xii sma/ma, . Kelas xii bahasa indonesia surat lamaran pekerjaan. Kebetulan jika paradigma pembelajaran bahasa indonesia dalam kurikulum 2013. Surat lamaran pekerjaan yang digabungkan dengan riwayat hidup (curriculum vitae). Smk kelas xii semester 5. Surat lamaran pekerjaan yang digabungkan dengan riwayat hidup (curriculum vitae). Setelah mempelajari materi ini, kamu diharapkan memiliki . Assalammualaikum.terima kasih sudah mengunjungi video saya.kali ini, saya akanmembahas mengenai materi kelas xii yakni surat lamaran . Menyusun surat lamaran pekerjaan dengan memperhatikan isi, sistematika, dan kebahasaan ~ zuhri indonesia materi kelas xii "surat lamaran . (5) daftar riwayat hidup (curriculum vitae). Modul ini berisi materi pembelajaran yaitu surat lamaran pekerjaan. Materi surat lamaran pekerjaan kelas 12 bahasa inggris. Pengertian surat lamaran pekerjaan surat lamaran pekerjaan adalah surat dari seseorang yang memerlukan pekerjaan kepada orang atau pejabat .

Materi Surat Lamaran Pekerjaan Kelas 12 Kurikulum 2013 - Contoh Soal Essay Bahasa Indonesia Kelas 12 Semester 1 / Materi surat lamaran pekerjaan kelas 12 bahasa inggris.. (5) daftar riwayat hidup (curriculum vitae). 6 kunci jawaban dan pembahasan bahasa indonesia kelas xii c. Materi surat lamaran pekerjaan kelas 12 bahasa inggris. Surat lamaran pekerjaan yang digabungkan dengan riwayat hidup (curriculum vitae). Smk kelas xii semester 5.

Posting Komentar untuk "Materi Surat Lamaran Pekerjaan Kelas 12 Kurikulum 2013 - Contoh Soal Essay Bahasa Indonesia Kelas 12 Semester 1 / Materi surat lamaran pekerjaan kelas 12 bahasa inggris."